南翔生活网
  • 嘉定新闻
  • 精彩活动
  • 技术案例
  • 祥友汇
    • 儿童之家
    • 妇女之家
    • 志愿服务队
  • 党群微网站
  • 社区信息
  • 政策解读
嘉定生活门户网站,嘉定网络的商业平台
服务热线:021-69982177

南翔新闻

查看全部

【独家】南翔碧桂园一房一价出炉!洋房498万起!样板房首次曝光!1.2超低容积率!

07-01
19332
导读
- 2022年的第176天 - 嘉定明日天气 多云 31℃-25℃   提要:去年6月24日,碧桂园以24.57亿元的成交价获得了珍贵的南翔地块,终于…

– 2022年的第176天 –

嘉定明日天气 多云 31℃-25℃

 

提要:去年6月24日,碧桂园以24.57亿元的成交价获得了珍贵的南翔地块,终于首次成功杀入了这个知名开发商云集的上海西环必争之地。

 

而距拿地几乎整整一年后,碧桂园南翔项目——柏悦翔湾已经过会,一房一价表刚刚出炉,根据网上房地产消息,7月2日期即将开启首次认购!

碧桂园营销中心实拍

今天小编将为大家聊聊这个引入关注的南翔楼盘。

01

碧桂园·柏悦翔湾样板房谍照

去年10月26日碧桂园南翔项目获得了建规许可后开始正式施工。
 
柏悦翔湾占地面积约6.6万方,总建筑面积约7.67万方,总的户数为714套,最大的亮点毫无疑问是区域非常罕见,只有1.2的容积率和洋房、叠加、联排的稀缺产品类型!
 
小编探访了刚刚落成不久的营销中心和样板房!可以说,着实惊艳!
 

碧桂园营销中心实拍

 

碧桂园营销中心实拍

碧桂园营销中心实拍

 

小编这次探访最大的亮点毫无疑问,是洋房的样板间首次曝光。7-8层的洋房,房型格局非常规整,全屋品牌化装修。

样板房实拍,以实际交付为准

这个房型,在区域中来说,性价比非常高!

样板房实拍,以实际交付为准

样板房实拍,以实际交付为准

样板房实拍,以实际交付为准

样板房实拍,以实际交付为准

样板房实拍,以实际交付为准

02

落子南翔未来之城

该项目推广名已正式确定——碧桂园·柏悦翔湾,是一个近年来南翔非常稀有的洋房、叠加、联排低容积复合型社区。
 
下面,小编将为大家进行深度解读!
碧桂园柏悦翔湾项目鸟瞰图,仅供参考
碧桂园柏悦翔湾位于南翔镇JDC2-0201、JDC2-0202单元04-02、05-02地块,东至惠申路,南至张泾,西至庵桥路、基地边界,北至嘉绣路。

南翔生活网根据南翔2035规划图大致区块标注,仅供参考

北虹桥综合商务区
根据上海嘉定发布的嘉定区“十四五”规划纲要图解,其中很大亮点就是:南翔被划归于北虹桥综合商务区。
而碧桂园柏悦翔湾就位于其中!

嘉定区“十四五”规划纲要图解

 

南翔未来之城

同时,该地块属于南翔的云翔板块,这里北接嘉定新城,东靠已经成熟的南翔东社区,根据发展态势,几乎可以说:这里将是南翔发展的未来!
 
碧桂园柏悦翔湾周边,根据地块最新的总规划图,该区域有众多住宅、教育、商业、菜场、公交站等规划用地。
值得一提的是,除了项目附近著名的上海嘉定区世外学校外,2022年3月8号,嘉定区教育局与上海世外教育集团已经签约,并委托嘉定世外管理云翔区块内的上海世外教育附属嘉定云翔小学、中学(简称:嘉世云翔小学和嘉世云翔中学)。

上海嘉定区世外学校
而商业配套方面,除了已经建成的上海最大单体商业体——南翔印象城MEGA外,距离柏悦翔湾直线距离仅约1.8KM就是正在建设中的山姆会员店!
 

区位示意图,仅供参考

以下是山姆会员店最新效果图和南翔印象城MEGA实景图

山姆会员店效果图
 
南翔印象城实拍图
 

共享嘉定新城配套

由于碧桂园柏悦翔湾毗邻嘉定新城,因此,这里不但能坐拥南翔既有成熟的商业配套,而且因为距离嘉定新城很近,也能方便享受的新城的轨道交通和商业配套。
 
同时,小编也为大家标注了柏悦翔湾附近的商业体。
相当便捷的交通
碧桂园·柏悦翔湾周边交通更是相当方便,2条轨交——11号线(特别是马陆站距离非常近)和嘉闵线(在建)以及4条快速路——S6沪翔高速、嘉闵高架、G15沈海高速、S5沪嘉快速路就在附近,而已经批复的沪嘉-嘉闵联络线新建工程,待建成后,无论是通达市区、嘉定城区、大虹桥都非常容易!
嘉定四纵三横骨干高速网络,仅供参考

03

罕见!低密低容类别墅社区

 
南翔一直是市场的热点区域,这两年推盘增多,但绝大部分都是高层住宅产品,主要受众还是刚改。
而不能忽视的是,除了大量看好南翔的刚需和刚改的客户,还有很多对南翔大面积别墅类产品的期待的人群。
南翔生活网获悉,这次碧桂园柏悦翔湾推出的是全新的中高端产品线——柏悦系,以1.2的超低容积率,打造区域非常稀缺的洋房、叠加、联排类产品,以期树立区域新标杆,据悉首批次将投放343套房源。
根据第二批过会楼盘的公示,其均价为61,016万元/平米。

04

三面临水,多维度景观

 
小编注意到柏悦翔湾有非常好的自然条件——三面环水!
蕰藻浜、花园江、西张泾3条自然河流将柏悦翔湾半包围,毫无疑问,这里将有多维度的景观空间!

05

最新房型图、效果图

目前,小编已经得到了最新的户型图和产品效果图最新资料,下面为大家分享!
 
洋房 效果图
洋房正面效果图
特别有意思的是,小编注意到,碧桂园柏悦翔湾并非像其他楼盘有集中的联排或者叠墅区域,而是将其整合——两侧联排,中间叠加(3层的为联排),如下图所示,红色框选的是联排。
 
 
叠墅 效果图
 
联排 效果图
左边的3层为联排
 
户型资料 最新资料
南翔生活网独家了解到,目前,碧桂园柏悦翔湾将主推的面积段有三个,分别是
【洋      房】约95平米(建面)
【叠加别墅】约140-160平米(建面)
【联排别墅】约164平米(建面)
 
具体的户型图,小编为大家准备好了,最值得关注的是洋房产品,我们赶快来看看吧。
 

06

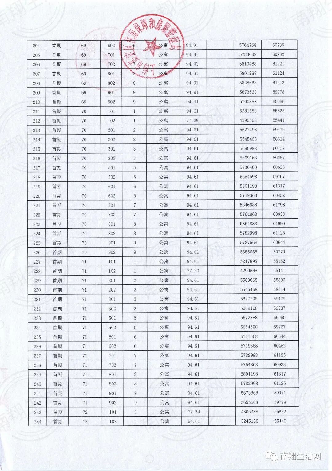
一房一价表曝光

昨日,碧桂园柏悦翔湾一房一价出炉,南翔生活网已第一时间拿到了,大家赶快来看看。
 
其中,洋房总价498万起,公寓最低价仅53217元/平米。
好了,今天的解读汇报到此,相信还有未尽之处,有兴趣的网友还可以自行前往碧桂园营销中心了解。
 
或者扫码加入
南翔生活网房产群预约和讨论!

免责声明:本文为广告,本项目推广名为“碧桂园·柏悦翔湾”,本宣传资料为要约邀请,相关内容不排除因政府相关规划、规定及开发商未能控制的原因而发生变化,本公司保留对宣传资料修改的权利,敬请留意最新资料。对项目周边环境、交通、教育、商业及其它配套设施的介绍,旨在提供相关信息,不意味着本公司对此作出了承诺,买卖双方的权利义务以合同约定为准。部分图片素材来源于网络,如有疑问请及时与作者联系。

 
编辑 | 清风
免责声明:本平台对转载、分享的内容、陈述、观点判断保持中立,仅供读者参考。本平台推送的广告信息、内容及设计均归广告主所有,本平台只作为发布方进行推送,因内容引起的任何纠纷与本平台无关,本公众平台将不承担任何责任。
                                 

更多南翔精彩资讯,关注南翔生活网网官方微信

要闻快讯

查看全部
25号截止!这个帮扶项目征集抓紧申报!
【聚变计划】参与式工作坊开放报名
项目发布|2023年北京市妇联公益伙伴计划暨妇女儿童家庭公益服务创新项目征集启事
汪明亮:电子监控的犯罪预防功能
最美退役军人网络投票活动
古猗园荷花睡莲展荷花九景评选活动
嘉定区青少年法律知识新媒体竞答比赛
澳洲klook0元游澳洲
Student.com学旅家WorldCup世界杯

嘉定生活门户网站,嘉定网络的商业平台
服务热线:13916893730
技术支持:安拓网络Anttoweb
网站备案:沪ICP备13042283号-1
  • 网站介绍
  • 打折卡销售点
  • 服务条款
  • 招聘信息
  • 免责声明
  • 联系我们
  • 南翔派出所网上工作站
  • 模特衣架公司
  • 控件中国网
  • 闵行社区论坛
  • 嘉定都市网
  • 绍兴租房
  • 宝山网
  • 九亭论坛
  • 花桥生活网
  • 奉贤房产网
  • 上海团购大全
  • 申城热线
  • 上海鲜花
  • 南翔网
  • 南翔人论坛
  • 安亭热线
  • 新桥论坛
  • 上海列表网
  • 上海租房
  • 360免费杀毒
  • 上海房屋维修
  • 360网站导航
  • 南翔智地
  • 放心搜
  • 上海业主论
  • 安拓网络Anttoweb
  • 坛祥生活商
  • 城维沃珂网销联合办公