南翔生活网
  • 嘉定新闻
  • 精彩活动
  • 技术案例
  • 祥友汇
    • 儿童之家
    • 妇女之家
    • 志愿服务队
  • 党群微网站
  • 社区信息
  • 政策解读
嘉定生活门户网站,嘉定网络的商业平台
服务热线:021-69982177

南翔新闻

查看全部

备案均价3.45万/㎡!嘉闵线旁精装高层!今日开启认购!(附一房一价表)

06-18
17280
导读
  - 2021年的第165天 - 嘉定明日天气:小雨转阴 27℃/22℃ ——【佳兆业城市广场】 ——五期新品启幕  佳兆业城市广场项目五期,首次推出3#、4…

  – 2021年的第165天 –

嘉定明日天气:小雨转阴 27℃/22℃

——【佳兆业城市广场】 ——
五期新品启幕
 

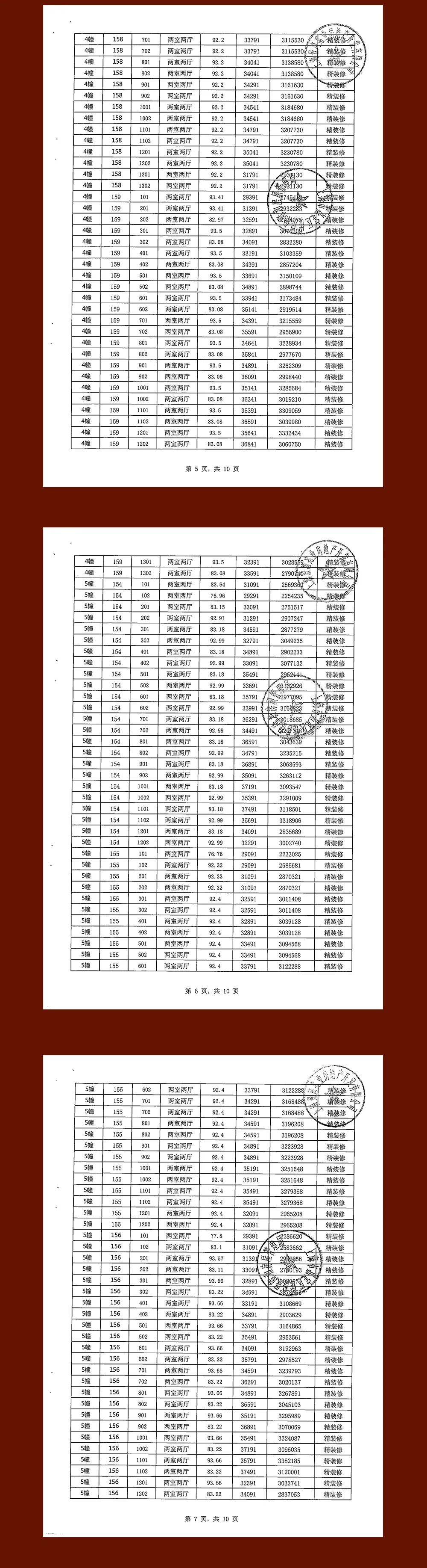
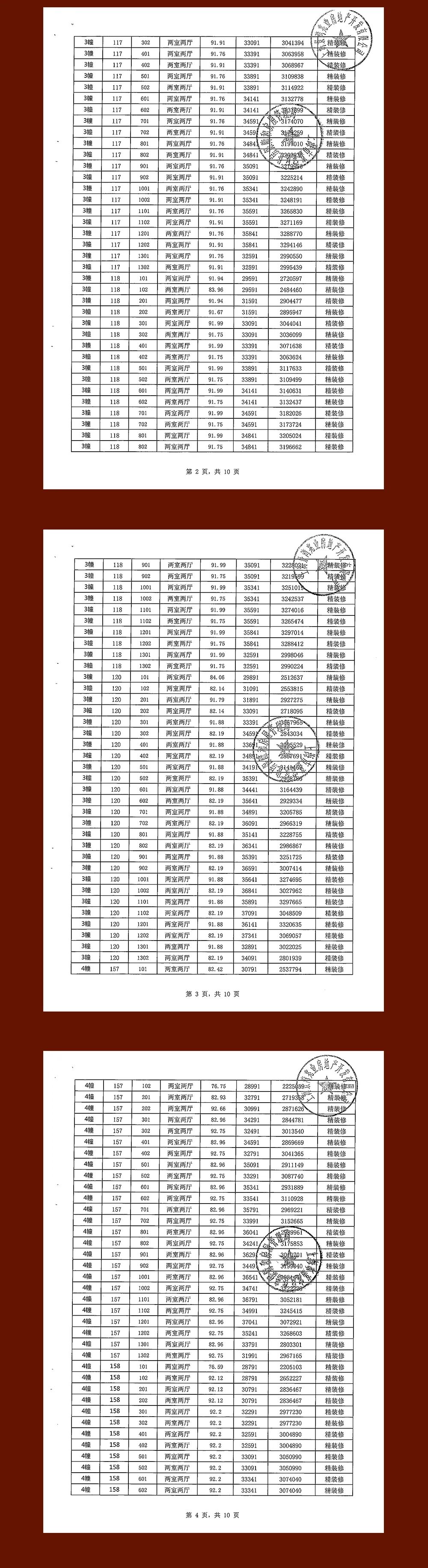
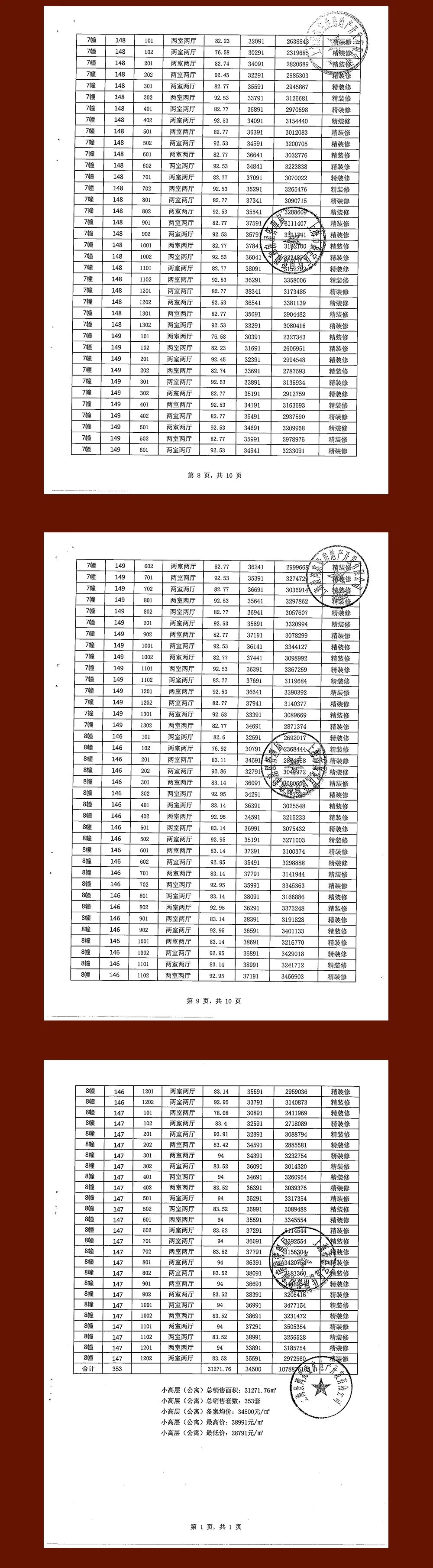
佳兆业城市广场项目五期,首次推出3#、4#、5#、7#、8#共五栋高层,共计353套房源。

感兴趣的网友

赶紧扫码报名吧!

 
 

一.项目基础信息

1、佳兆业城市广场营销中心:
 

2、开发商:上海景湾兆业房地产开发有限公司

 

3、容积率:1.6

 

4、五期项目占地:约5.11万方

 

5、五期项目建面:约13.1万方

 

6、建筑规划:小区楼栋布置整齐划一,由13栋多层住宅、6栋小高层和2栋自持养老及配套组成,采用南低北高的排列方式。

 

7、产品:建筑面积约81-92㎡瞰景高层,建筑面积约141-155㎡宽幕叠墅、合院。

8、车位规划:地上停车位46个,地下停车位852个,车位配比约1:0.9。

 

(效果图)
 

二、项目价值点

【品牌赋能-大城佳温】
千亿品牌佳兆业 佳筑时代作品
1、千亿品牌:佳兆业集团控股有限公司,成立于1999年,总部位于香港,2009年12月在联交所成功上市(股票代码:1638.HK),位列“2021中国房地产百强企业第24位”。
 
2、焕新宗师:2019-2020年中国房企城市更新领先品牌TOP1,拥有“城市更新领导者”的美誉。
 
3、城市广场产品系:城市广场属于佳兆业的核心高端产品系,立志“打造综合大城,再造城市中心”,必将为上海科创生态区万众瞩目的项目。
 
4、嘉定区域红盘:1-4期一经面市即受到一城热捧,成为当之无愧的区域红盘,如今五期即将亮相,更是牵动无数购房者的心。1-4期是2000+组业主在反复对比之后的选择,配套、物业服务、品质、园林得到业主的认可。项目准业主满意度100分,常态业主满意度94分,为行业内标杆水平。项目老带新成交占比高达20%
 

【城市发展-焕新佳温】

佳兆业作为城市更新的领衔开发商,从城市发展的必然性出发,摘取了地处长三角核心位置的北上海门户嘉定科创中心地块。

 

【嘉定城芯-区位佳温】

嘉定位于北上海中心地带,是承载着上海与长三角城市群经济带的重要交通枢纽。作为离上海市区最近的城市副中心之一,规划完善、配套齐全。
 

【科技小镇-产业佳温】

板块规划将成为嘉定未来高科技新兴产业的核心区域,以澄浏公路为发展主轴,上海科技生态的产业重要承载区,总投资450亿规划总面积约1.51平方公里的“科技小镇”,预计引入高新技术人才3万余名。
 
【大城版图-配套佳温】
60万方综合大城,构筑城熟人居理想
这里精英人才荟萃,全球名企汇集;这里是星级酒店、大型MALL的商业摇篮;这里有恢弘钜制容积率仅1.6的低密度奢适住区;更有教育、大健康养老的高净值生活体验。
 
1、立体交通网络
 
①“两横”-绕城高速、沪翔高速,“四纵”-沪崇高速、沪嘉高速、嘉闵高架、沈海高速醇熟立体交通网络;
 
②近距离地铁11号线嘉定北站,通达城市的各个重要商圈;
 
③东面2公里沪通高铁(徐行站)在建中,京沪高铁二期/南沿江高铁(预计2022年通车),轨交-嘉闵线规划中。
 
2、缤纷繁华商业:项目周边商业配套嘉定日月光中心、百联购物中心等一应俱全。自身拥有约5万方的商业体量,包括大型购物中心、星级酒店、社区型商业中心、时尚百货、高端餐饮及国际影城等项目。
 
3、幼儿园:徐行幼儿园、嘉定区实验幼儿园分园
    中小学:徐行小学、徐行中学、嘉一联合中学、远东国际学校。
 
4、健康医疗护航:距项目约5公里嘉定中心医院二级甲等医院、嘉定中医院,为您和您的家人健康保驾护航。
 

【全龄空间-社区佳温】
 
1、建筑风格:米白色外立面和灰色金属漆的应用,让极富现代感的高层建筑倍增科技感和优雅气质,符合现代精英的审美选择;而真石漆的质朴正与建筑融于自然的气质相契,营造质朴沉稳的新中式居境。
 
2、园林景观:园林景观设计由贝伦汉斯景观国际设计公司首席设计师陈佐文先生亲自率队打造,为业主营造浪漫风景及全龄化生活环境。
 
3、全龄生活空间:设置礼宾主入口、社区礼仪入口和归家入户入口,三进制归家,尊享归家的仪式感;打造静谧休闲庭院,私享庭院式景观空间;设置儿童乐园、乐享空间、康养花园、室外会客厅等活动场所。完整的社区配套、集休闲、社交、运动、游乐、康养为一体,打造全龄化的活动社区。
 

【尊崇服务-物业佳温】
佳兆业美好物业,
中国领先综合物业管理服务供应商
荣获2019年中国物业服务专业化运营领先品牌企业*、2020物业服务企业上市公司十强*多项荣誉。以私属定制系统,贴身生活助手等智慧服务,给予业主从归家到居家的极致安全享受。
 
* 测评机构:中国指数研究院 * 测评机构:中国物业管理协会/上海易居房地产研究院中国房地产测评中心  

三、户型解析

【高层】
A-1
建筑面积约81㎡

 
● 多功能空间享受,方正全明格局
● 三开间朝南,采光充足,阳光清风入室
● 餐客厨一体,动线分离,生活尽显从容
● 南向阳台,三飘窗,兼顾生活与诗意
 
A-2

建筑面积约81㎡

 
● 多功能空间,室室全明,畅享阳光清风
●  餐客一体,宽幕横厅,入目四季风景
● 卫浴干湿分离,生活从容有序
● 南向阳台,三飘窗,兼顾生活与诗意
 
B-3
建筑面积约92㎡

 
● 敞阔空间,尽显尺度,生活游刃有余
● 餐厨客一体,动线分离,美味欢笑同步传递
● 双卫浴,主客分离,生活从容有序
● 主卧套房,三飘窗,尽享生活尊贵
 

认购规则

一房一价表

感兴趣的网友

赶紧扫码报名吧!

 
 

本资料中所有文字、图片、数据信息等仅供参考,不视为要约。所展示项目的面积、结构、装修、装饰、设备、设施、建筑物/构筑物、景观、交通设施、周边环境等仅供参考,不构成交付标准,最终交付标准以商品房买卖合同及政府等相关部门的批准文件为准。本公司保留修改本资料的权利,敬请留意最新资料。学区划分以教育部门规定为准,开发商不作任何承诺。开发商:【上海景湾兆业房地产开发有限公司】;备案名:【水岸佳苑】;本项目推广名:佳兆业城市广场。本项目分期开发,本期为五期;预售证号【嘉定房管(2020)预字0000181】;制作时间:【2021年6月】;有效期为【3个月】。

 
编辑 | 小龙
*本文系广告,图文内容由佳兆业城市广场提供
 
免责声明:本平台对转载、分享的内容、陈述、观点判断保持中立,仅供读者参考。本平台推送的广告信息、内容及设计均归广告主所有,本平台只作为发布方进行推送,因内容引起的任何纠纷与本平台无关,本公众平台将不承担任何责任。

 

更多南翔精彩资讯,关注南翔生活网网官方微信

要闻快讯

查看全部
25号截止!这个帮扶项目征集抓紧申报!
【聚变计划】参与式工作坊开放报名
项目发布|2023年北京市妇联公益伙伴计划暨妇女儿童家庭公益服务创新项目征集启事
汪明亮:电子监控的犯罪预防功能
最美退役军人网络投票活动
古猗园荷花睡莲展荷花九景评选活动
嘉定区青少年法律知识新媒体竞答比赛
澳洲klook0元游澳洲
Student.com学旅家WorldCup世界杯

嘉定生活门户网站,嘉定网络的商业平台
服务热线:13916893730
技术支持:安拓网络Anttoweb
网站备案:沪ICP备13042283号-1
  • 网站介绍
  • 打折卡销售点
  • 服务条款
  • 招聘信息
  • 免责声明
  • 联系我们
  • 南翔派出所网上工作站
  • 模特衣架公司
  • 控件中国网
  • 闵行社区论坛
  • 嘉定都市网
  • 绍兴租房
  • 宝山网
  • 九亭论坛
  • 花桥生活网
  • 奉贤房产网
  • 上海团购大全
  • 申城热线
  • 上海鲜花
  • 南翔网
  • 南翔人论坛
  • 安亭热线
  • 新桥论坛
  • 上海列表网
  • 上海租房
  • 360免费杀毒
  • 上海房屋维修
  • 360网站导航
  • 南翔智地
  • 放心搜
  • 上海业主论
  • 安拓网络Anttoweb
  • 坛祥生活商
  • 城维沃珂网销联合办公